Chapter 9 Cellular Respiration and Fermentation Reading Guide

Introduction

Living organisms must take in energy from the environment and convert it into a form that their cells can use. Animals are heterotrophs, obtaining energy through eating. Plants and algae are autotrophs or "self feeders", using sunlight as their energy source.  Regardless of the source, energy enters an organism's body in one form and is converted into another form that can fuel the organism's life functions.

Learning Objectives

By the end of this chapter, you will be able to:

  • Describe the process of glycolysis and fates of pyruvate.
  • Explain relationships between structure and function of mitochondria.
  • Describe citric acid cycle and oxidative phosphorylation.
  • Summarize the process of aerobic respiration, trace the fate of glucose and the role oxygen gas in the process.
  • Discuss energy capture and release under anaerobic conditions such as alcohol and lactic acid production.
  • Compare andcontract aerobic and anaerobic proecesses.
  • Explain how other biomolecules can enter these biochemical pathways.

9.1. Energy in Living Organisms

Energy production within a cell involves many coordinated chemical pathways. Most of these pathways are combinations of oxidation and reduction reactions. Oxidation and reduction occur in tandem. An oxidation reaction strips an electron from an atom in a compound, and the addition of this electron to another compound is a reduction reaction. Because oxidation and reduction usually occur together, these pairs of reactions are called oxidation reduction reactions, or redox reactions.

Electrons and Energy

The removal of an electron from a molecule, oxidizing it, results in a decrease in potential energy in the oxidized compound. The electron (sometimes as part of a hydrogen atom), does not remain unbonded, however, in the cytoplasm of a cell. Rather, the electron is shifted to a second compound, reducing the second compound. The shift of an electron from one compound to another removes some potential energy from the first compound (the oxidized compound) and increases the potential energy of the second compound (the reduced compound). The transfer of electrons between molecules is important because most of the energy stored in atoms and used to fuel cell functions is in the form of high-energy electrons. The transfer of energy in the form of electrons allows the cell to transfer and use energy in an incremental fashion—in small packages rather than in a single, destructive burst. This chapter focuses on the extraction of energy from food; you will see that as you track the path of the transfers, you are tracking the path of electrons moving through metabolic pathways.

Electron Carriers

In living systems, a small class of compounds functions as electron shuttles: They bind and carry high-energy electrons between compounds in pathways. The principal electron carriers we will consider are derived from the B vitamin group and are derivatives of nucleotides. These compounds can be easily reduced (that is, they accept electrons) or oxidized (they lose electrons). Nicotinamide adenine dinucleotide (NAD) (Figure 9.2) is derived from vitamin B3, niacin. NAD+ is the oxidized form of the molecule; NADH is the reduced form of the molecule after it has accepted two electrons and a proton (which together are the equivalent of a hydrogen atom with an extra electron).

When electrons are added to a compound, they are reduced. A compound that reduces another is called a reducing agent. In the above equation, RH is a reducing agent, and NAD+ is reduced to NADH. When electrons are removed from compound, it oxidized. A compound that oxidizes another is called an oxidizing agent. In the above equation, NAD+ is an oxidizing agent, and RH is oxidized to R.

Similarly, flavin adenine dinucleotide (FAD+) is derived from vitamin B2, also called riboflavin. Its reduced form is FADH2. A second variation of NAD, NADP, contains an extra phosphate group. Both NAD+ and FAD+ are extensively used in energy extraction from sugars, and NADP plays an important role in anabolic reactions and photosynthesis.

Figure 9 .2 .The oxidized form of the electron carrier (NAD+) is shown on the left and the reduced form (NADH) is shown on the right. The nitrogenous base in NADH has one more hydrogen ion and two more electrons than in NAD+.

ATP in Living Systems

A living cell cannot store significant amounts of free energy. Excess free energy would result in an increase of heat in the cell, which would result in excessive thermal motion that could damage and then destroy the cell. Rather, a cell must be able to handle that energy in a way that enables the cell to store energy safely and release it for use only as needed. Living cells accomplish this by using the compound adenosine triphosphate (ATP). ATP is often called the "energy currency" of the cell, and, like currency, this versatile compound can be used to fill any energy need of the cell. How? It functions similarly to a rechargeable battery.

When ATP is broken down, usually by the removal of its terminal phosphate group, energy is released. The energy is used to do work by the cell, usually by the released phosphate binding to another molecule, activating it. For example, in the mechanical work of muscle contraction, ATP supplies the energy to move the contractile muscle proteins. Recall the active transport work of the sodium-potassium pump in cell membranes. ATP alters the structure of the integral protein that functions as the pump, changing its affinity for sodium and potassium. In this way, the cell performs work, pumping ions against their electrochemical gradients.

ATP Structure and Function

At the heart of ATP is a molecule of adenosine monophosphate (AMP), which is composed of an adenine molecule bonded to a ribose molecule and to a single phosphate group (Figure 9.3). Ribose is a five-carbon sugar found in RNA, and AMP is one of the nucleotides in RNA. The addition of a second phosphate group to this core molecule results in the formation of adenosine diphosphate (ADP); the addition of a third phosphate group forms adenosine triphosphate (ATP).

This illustration shows the molecular structure of ATP. This molecule is an adenine nucleotide with a string of three phosphate groups attached to it. The phosphate groups are named alpha, beta, and gamma in order of increasing distance from the ribose sugar to which they are attached.

Figure 9. 3 .

ATP (adenosine triphosphate) has three phosphate groups that can be removed by hydrolysis to form ADP (adenosine diphosphate) or AMP (adenosine monophosphate).The negative charges on the phosphate group naturally repel each other, requiring energy to bond them together and releasing energy when these bonds are broken.

The addition of a phosphate group to a molecule requires energy. Phosphate groups are negatively charged and thus repel one another when they are arranged in series, as they are in ADP and ATP. This repulsion makes the ADP and ATP molecules inherently unstable. The release of one or two phosphate groups from ATP, a process called dephosphorylation, releases energy.

ADP-ATP Cycle

Hydrolysis is the process of breaking complex macromolecules apart. During hydrolysis, water is split, or lysed, and the resulting hydrogen atom (H+) and a hydroxyl group (OH) are added to the larger molecule. The hydrolysis of ATP produces ADP, together with an inorganic phosphate ion (Pi), and the release of free energy. To carry out life processes, ATP is continuously broken down into ADP, and like a rechargeable battery, ADP is continuously regenerated into ATP by the reattachment of a third phosphate group (Figure 9.4). Water, which was broken down into its hydrogen atom and hydroxyl group during ATP hydrolysis, is regenerated when a third phosphate is added to the ADP molecule, reforming ATP.

Obviously, energy must be infused into the system to regenerate ATP. Where does this energy come from? In nearly every living thing on earth, the energy comes from the metabolism of glucose. In this way, ATP is a direct link between the limited set of exergonic pathways of glucose catabolism and the multitude of endergonic pathways that power living cells.

 Figure 9.4. ADP has less free energy than ATP.  Inorganic phosphate binds in a condensation or dehydration reaction to form ATP.  This ATP is used to perform the energy-requiring work of cells, and in the process, transfers its phosphate and becomes ADP.

back to top

9.2. Overview of Cellular Respiration

Cellular respiration, sometimes called aerobic respiration, occurs in all aerobic, or oxygen consuming organisms.  The process involves breaking down nutrients, often carbohydrates but also including fats and proteins and capturing the reduction in free energy as ATP.  This ATP is then used to do the work of cells, as chemical work such as synthesizing molecules, mechanical work such as moving muscles, and tranport work such as active transport of molecules across a membrane.

The overall equation for cellular respiration is:

glucose  +  oxygen → carbon dioxide + water + Energy

          C6H12O6 +  6O2→  6CO2 +  6H2O  +  Energy (as ATP and heat)

Note that all the carbon atoms in the glucose are oxidized to carbon dioxide and are expelled, and all of the hydrogen atoms of glucose are used in making water.  This is acatabolic reaction since there is a breakdown of the glucose into simpler molecules of carbon dioxide and water.  The resulting loss in free enegy (ΔG) is captured as ATP.

Cellular respiration begins with Glycolysis, occuring in the the cytoplasm of virtually all cells.  In this process the 6-carbon glucose (the "glyco" of glycolysis) is is broken ("lysis" means breaking) into two 3-carbon molecules called pyruvate.  Glycolysis also results in the formation of 2 ATP and 2 NADH molecules.

The rest of cellular respiration takes place in the mitochondria of eukaryotic cells.  First, the pyruvate is oxidized by passing from the cytoplasm through the membranes of the mitochondria in a preparatory or bridging step.  In the mitochondrial matrix the second stage of the citric acid cycle, finishes the breakdown of carbon into carbon dioxide and the generation of ATP, NADH and FADH2.  In the third and final stage, oxidative phosphorylation, occurs in the inner membrane of mitochondria.  There the NADH and FADH2 are oxidized, with the hydrogen atoms and their attending electrons transferred to oxygen to make water and most of the ATP of cellular respiration.  We will examine each of these processes in the next sections.

Exercises

Use this equation for cellular respiration to answer the questions below.

C6H12O6 + 6O2 → 6CO2 + 6H2O + Energy (as ATP and heat)

  1. Are the carbons of glucose reduced or oxidized to carbon dioxide?
  2. Is the oxygen gas reduced or oxidized to water?
  3. Is the cellular respiration pathway exergonic or endergonic?
  4. Why did you answer as you did in question 3?

    Show Answer

    Exergonic because energy is produced

9.3. Glycolysis

You have read that nearly all of the energy used by living cells comes to them in the bonds of the sugar, glucose. Glycolysis is the first step in the breakdown of glucose to extract energy for cellular metabolism. Nearly all living organisms carry out glycolysis as part of their metabolism. The process does not use oxygen and is therefore anaerobic. Glycolysis takes place in the cytoplasm of both prokaryotic and eukaryotic cells.

First Half of Glycolysis (Energy-Requiring Steps)

Step 1. The first step in glycolysis (Figure 9.5) is catalyzed by hexokinase, an enzyme which phosphorylates glucose using ATP as the source of the phosphate, producing glucose-6-phosphate, a more reactive form of glucose with higher free energy than glucose.

Step 2. In the second step of glycolysis, an isomerase converts glucose-6-phosphate into one of its isomers, fructose-6-phosphate. As its name implies, an isomerase is an enzyme that creates another structure isomer of the substrate. (See Chapter 4)

Step 3. The third step is the phosphorylation of fructose-6-phosphate, catalyzed by the enzyme phosphofructokinase. A second ATP molecule donates a high-energy phosphate to fructose-6-phosphate, producing fructose-1,6-bisphosphate.

Step 4. The newly added high-energy phosphates further destabilize fructose-1,6-bisphosphate. The fourth step in glycolysis employs an enzyme, aldolase, to cleave 1,6-bisphosphate into two three-carbon isomers: dihydroxyacetone-phosphate and glyceraldehyde-3-phosphate.

Step 5. In the fifth step, an isomerase transforms the dihydroxyacetone-phosphate into its isomer, glyceraldehyde-3-phosphate. Thus, the pathway will continue with two molecules of a single isomer. At this point in the pathway, there is a net investment of energy from two ATP molecules in the breakdown of one glucose molecule.

This illustration shows the steps in the first half of glycolysis. In step one, the enzyme hexokinase uses one ATP molecule in the phosphorylation of glucose. In step two, glucose-6-phosphate is rearranged to form fructose-6-phosphate by phosphoglucose isomerase. In step three, phosphofructokinase uses a second ATP molecule in the phosphorylation of the substrate, forming fructose-1,6-bisphosphate. The enzyme fructose bisphosphate aldose splits the substrate into two, forming glyceraldeyde-3-phosphate and dihydroxyacetone-phosphate. In step 4, triose phosphate isomerase converts the dihydroxyacetone-phosphate into glyceraldehyde-3-phosphate

Figure 9.5

The first half of glycolysis uses two ATP molecules in the phosphorylation of glucose, which is then split into two three-carbon molecules.

Second Half of Glycolysis (Energy-Releasing Steps)

So far, glycolysis has cost the cell two ATP molecules and produced two small, three-carbon sugar molecules. Both of these molecules will proceed through the second half of the pathway, and sufficient energy will be extracted to pay back the two ATP molecules used as an initial investment and produce a profit for the cell of two additional ATP molecules and two even higher-energy NADH molecules.

Step 6. The sixth step in glycolysis (Figure 9.6) oxidizes the sugar (glyceraldehyde-3-phosphate), extracting high-energy electrons, which are picked up by the electron carrier NAD+, producing NADH. The sugar is then phosphorylated by the addition of a second phosphate group, producing 1,3-bisphosphoglycerate. Note that the second phosphate group does not require another ATP molecule.

This illustration shows the steps in the second half of glycolysis. In step six, the enzyme glyceraldehydes-3-phosphate dehydrogenase produces one NADH molecule and forms 1,3-bisphosphoglycerate. In step seven, the enzyme phosphoglycerate kinase removes a phosphate group from the substrate, forming one ATP molecule and 3-phosphoglycerate. In step eight, the enzyme phosphoglycerate mutase rearranges the substrate to form 2-phosphoglycerate. In step nine, the enzyme enolase rearranges the substrate to form phosphoenolpyruvate. In step ten, a phosphate group is removed from the substrate, forming one ATP molecule and pyruvate.

Figure 9.6 .

The second half of glycolysis involves phosphorylation without ATP investment (step 6) and produces two NADH and four ATP molecules per glucose.

Here again is a potential limiting factor for this pathway. The continuation of the reaction depends upon the availability of the oxidized form of the electron carrier, NAD+. Thus, NADH must be continuously oxidized back into NAD+ in order to keep this step going. If NAD+ is not available, the second half of glycolysis slows down or stops. If oxygen is available in the system, the NADH will be oxidized readily, though indirectly, and the high-energy electrons from the hydrogen released in this process will be used to produce ATP. In an environment without oxygen, an alternate pathway (fermentation) can provide the oxidation of NADH to NAD+as discussed in section 9.6.

Step 7. In the seventh step, catalyzed by phosphoglycerate kinase (an enzyme named for the reverse reaction), 1,3-bisphosphoglycerate donates a high-energy phosphate to ADP, forming one molecule of ATP. A carbonyl group on the 1,3-bisphosphoglycerate is oxidized to a carboxyl group, and 3-phosphoglycerate is formed.

Step 8. In the eighth step, the remaining phosphate group in 3-phosphoglycerate moves from the third carbon to the second carbon, producing 2-phosphoglycerate (an isomer of 3-phosphoglycerate). The enzyme catalyzing this step is a mutase (isomerase).

Step 9. Enolase catalyzes the ninth step. This enzyme causes 2-phosphoglycerate to lose water from its structure; this is a dehydration reaction, resulting in the formation of a double bond that increases the potential energy in the remaining phosphate bond and produces phosphoenolpyruvate (PEP).

Step 10. The last step in glycolysis is catalyzed by the enzyme pyruvate kinase (the enzyme in this case is named for the reverse reaction of pyruvate's conversion into PEP) and results in the production of a second ATP molecule by substrate-level phosphorylation and the compound pyruvic acid (or its salt form, pyruvate). Many enzymes in enzymatic pathways are named for the reverse reactions, since the enzyme can catalyze both forward and reverse reactions (these may have been described initially by the reverse reaction that takes place in vitro, under non-physiological conditions).

Link to Learning

QR Code representing a URL

Gain a better understanding of the breakdown of glucose by glycolysis by visiting this site to see the process in action.

Outcomes of Glycolysis

Glycolysis starts with glucose and ends with two pyruvate molecules, a total of four ATP molecules and two molecules of NADH. Two ATP molecules were used in the first half of the pathway to prepare the six-carbon ring for cleavage, so the cell has a net gain of two ATP molecules and 2 NADH molecules for its use. If the cell cannot catabolize the pyruvate molecules further, it will harvest only two ATP molecules from one molecule of glucose. Mature mammalian red blood cells are not capable of aerobic respiration—the process in which organisms convert energy in the presence of oxygen—and glycolysis is their sole source of ATP. If glycolysis is interrupted, these cells lose their ability to maintain their sodium-potassium pumps, and eventually, they die.

The last step in glycolysis will not occur if pyruvate kinase, the enzyme that catalyzes the formation of pyruvate, is not available in sufficient quantities. In this situation, the entire glycolysis pathway will proceed, but only two ATP molecules will be made in the second half. Thus, pyruvate kinase is a rate-limiting enzyme for glycolysis.

Key Takeaways

Glycolysis

  • Occurs in the cytoplasm of nearly all living cells
  • Is anaerobic, since it does not require oxygen
  • Starts with glucose, 2 ATP and 2 NAD.
  • Ends with 2 molecules of pyruvate, a net of 2 ATP and 2 NADH.

back to top

9.4. Oxidation of Pyruvate and the Citric Acid Cycle

If oxygen is available, aerobic respiration will go forward. In eukaryotic cells, the pyruvate molecules produced at the end of glycolysis are transported into mitochondria, which are the sites of cellular respiration. There, pyruvate will be transformed into an acetyl group that will be picked up and activated by a carrier compound called coenzyme A (CoA). The resulting compound is called acetyl CoA. CoA is made from vitamin B5, pantothenic acid. Acetyl CoA can be used in a variety of ways by the cell, but its major function is to deliver the acetyl group derived from pyruvate to the next stage of the pathway in glucose catabolism.

Oxidation of Pyruvate

In order for pyruvate, the product of glycolysis, to enter the next pathway, it must undergo several changes. The conversion is a three-step process (Figure 9.7) and is often referred to as a preparatory step before the citric acid cycle.

Step 1. A carboxyl group is removed from pyruvate, releasing a molecule of carbon dioxide into the surrounding medium. The result of this step is a two-carbon hydroxyethyl group bound to the enzyme (pyruvate dehydrogenase). This is the first of the six carbons from the original glucose molecule to be removed. This step proceeds twice (remember: there are two pyruvate molecules produced at the end of glycolsis) for every molecule of glucose metabolized; thus, two of the six carbons will have been removed at the end of both steps.

Step 2. The hydroxyethyl group is oxidized to an acetyl group, and the electrons are picked up by NAD+, forming NADH. The high-energy electrons from NADH will be used later to generate ATP.

Step 3. The enzyme-bound acetyl group is transferred to CoA, producing a molecule of acetyl CoA.

This illustration shows the three-step conversion of pyruvate into acetyl CoA. In step one, a carboxyl group is removed from pyruvate, releasing carbon dioxide. In step two, a redox reaction forms acetate and NADH. In step three, the acetate is transferred coenzyme A, forming acetyl CoA.

Figure 9.7 .

Upon entering the mitochondrial matrix, a multi-enzyme complex converts pyruvate into acetyl CoA. In the process, carbon dioxide is released and one molecule of NADH is formed.

Note that during the second stage of glucose metabolism, whenever a carbon atom is removed, it is bound to two oxygen atoms, producing carbon dioxide, one of the major end products of cellular respiration.

Acetyl CoA to CO2

In the presence of oxygen, acetyl CoA delivers its acetyl group to a four-carbon molecule, oxaloacetate, to form citrate, a six-carbon molecule with three carboxyl groups; this pathway will harvest the remainder of the extractable energy from what began as a glucose molecule. This single pathway is called by different names: the citric acid cycle (for the first intermediate formed—citric acid, or citrate—when acetate joins to the oxaloacetate), the TCA cycle (since citric acid or citrate and isocitrate are tricarboxylic acids), and the Krebs cycle, after Hans Krebs, who first identified the steps in the pathway in the 1930s in pigeon flight muscles.

Citric Acid Cycle

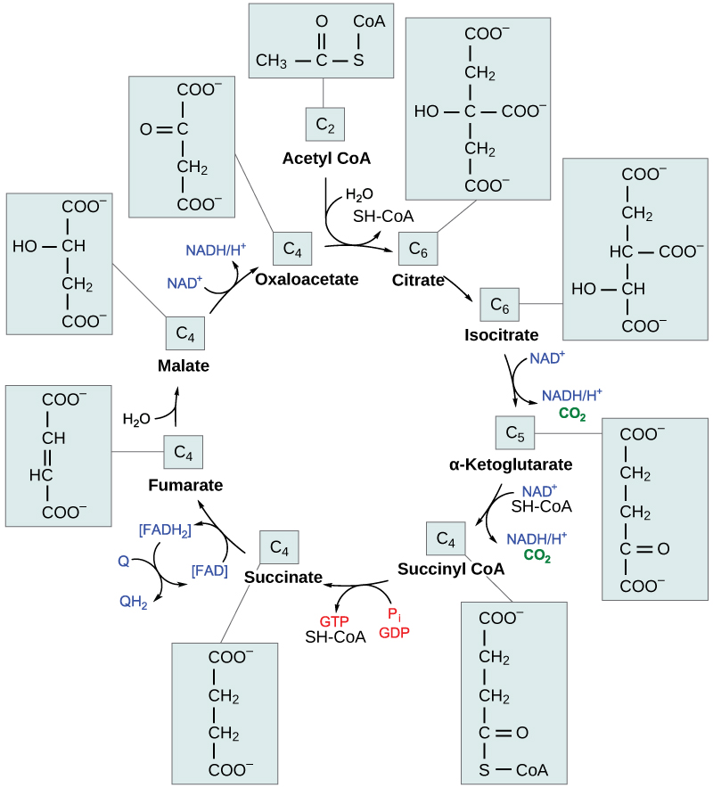
Like the conversion of pyruvate to acetyl CoA, the citric acid cycle takes place in the matrix of mitochondria. Almost all of the enzymes of the citric acid cycle are soluble, with the single exception of the enzyme succinate dehydrogenase, which is embedded in the inner membrane of the mitochondrion. Unlike glycolysis, the citric acid cycle is a closed loop: The last part of the pathway regenerates the compound used in the first step. The eight steps of the cycle are a series of redox, dehydration, hydration, and decarboxylation reactions that produce two carbon dioxide molecules, one GTP/ATP, and reduced forms of NADH and FADH2 (Figure 9.8). This is considered an aerobic pathway because the NADH and FADH2 produced must transfer their electrons to the next pathway in the system, which will use oxygen. If this transfer does not occur, the oxidation steps of the citric acid cycle also do not occur. Note that the citric acid cycle produces very little ATP directly and does not directly consume oxygen.

This illustration shows the eight steps of the citric acid cycle. In the first step, the acetyl group from acetyl CoA is transferred to a four-carbon oxaloacetate molecule to form a six-carbon citrate molecule. In the second step, citrate is rearranged to form isocitrate. In the third step, isocitrate is oxidized to α-ketoglutarate. In the process, one NADH is formed from NAD^{+} and one carbon dioxide is released. In the fourth step, α-ketoglutarate is oxidized and CoA is added, forming succinyl CoA. In the process, another NADH is formed and another carbon dioxide is released. In the fifth step, CoA is released from succinyl CoA, forming succinate. In the process, one GTP is formed, which is later converted into ATP. In the sixth step, succinate is oxidized to fumarate, and one FAD is reduced to FADH_{2}. In the seventh step, fumarate is converted into malate. In the eighth step, malate is oxidized to oxaloacetate, and another NADH is formed.

Figure 9.8 .

In the citric acid cycle, the acetyl group from acetyl CoA is attached to a four-carbon oxaloacetate molecule to form a six-carbon citrate molecule. Through a series of steps, citrate is oxidized, releasing two carbon dioxide molecules for each acetyl group fed into the cycle. In the process, three NAD+ molecules are reduced to NADH, one FAD molecule is reduced to FADH2, and one ATP or GTP (depending on the cell type) is produced (by substrate-level phosphorylation). Because the final product of the citric acid cycle is also the first reactant, the cycle runs continuously in the presence of sufficient reactants. (credit: modification of work by "Yikrazuul"/Wikimedia Commons)

Steps in the Citric Acid Cycle

Step 1. Prior to the start of the first step, a transitional phase occurs during which pyruvic acid is converted to acetyl CoA. Then, the first step of the cycle begins: This is a condensation step, combining the two-carbon acetyl group with a four-carbon oxaloacetate molecule to form a six-carbon molecule of citrate. CoA is bound to a sulfhydryl group (-SH) and diffuses away to eventually combine with another acetyl group. This step is irreversible because it is highly exergonic. The rate of this reaction is controlled by negative feedback and the amount of ATP available. If ATP levels increase, the rate of this reaction decreases. If ATP is in short supply, the rate increases.

Step 2. In step two, citrate loses one water molecule and gains another as citrate is converted into its isomer, isocitrate.

Step 3. In step three, isocitrate is oxidized, producing a five-carbon molecule, α-ketoglutarate, together with a molecule of CO2 and two electrons, which reduce NAD+ to NADH. This step is also regulated by negative feedback from ATP and NADH, and a positive effect of ADP.

Steps 3 and 4. Steps three and four are both oxidation and decarboxylation steps, which release electrons that reduce NAD+ to NADH and release carboxyl groups that form CO2 molecules. α-Ketoglutarate is the product of step three, and a succinyl group is the product of step four. CoA binds the succinyl group to form succinyl CoA. The enzyme that catalyzes step four is regulated by feedback inhibition of ATP, succinyl CoA, and NADH.

Step 5. In step five, a phosphate group is substituted for coenzyme A, and a high-energy bond is formed. This energy is used in substrate-level phosphorylation (during the conversion of the succinyl group to succinate) to form either guanine triphosphate (GTP) or ATP. There are two forms of the enzyme, called isoenzymes, for this step, depending upon the type of animal tissue in which they are found. One form is found in tissues that use large amounts of ATP, such as heart and skeletal muscle. This form produces ATP. The second form of the enzyme is found in tissues that have a high number of anabolic pathways, such as liver. This form produces GTP. GTP is energetically equivalent to ATP; however, its use is more restricted. In particular, protein synthesis primarily uses GTP.

Step 6. Step six is a dehydration process that converts succinate into fumarate. Two hydrogen atoms are transferred to FAD, producing FADH2. The energy contained in the electrons of these atoms is insufficient to reduce NAD+ but adequate to reduce FAD. Unlike NADH, this carrier remains attached to the enzyme and transfers the electrons to the electron transport chain directly. This process is made possible by the localization of the enzyme catalyzing this step inside the inner membrane of the mitochondrion.

Step 7. Water is added to fumarate during step seven, and malate is produced. The last step in the citric acid cycle regenerates oxaloacetate by oxidizing malate. Another molecule of NADH is produced in the process.

Link to Learning

QR Code representing a URL

Click through each step of the citric acid cycle here.

Products of the Citric Acid Cycle

Two carbon atoms come into the citric acid cycle from each acetyl group, representing four out of the six carbons of one glucose molecule. Two carbon dioxide molecules are released on each turn of the cycle; however, these do not necessarily contain the most recently added carbon atoms. The two acetyl carbon atoms will eventually be released on later turns of the cycle; thus, all six carbon atoms from the original glucose molecule are eventually incorporated into carbon dioxide. Each turn of the cycle forms three NADH molecules and one FADH2 molecule. These carriers will connect with the last portion of aerobic respiration to produce ATP molecules. One GTP or ATP is also made in each cycle. Several of the intermediate compounds in the citric acid cycle can be used in synthesizing non-essential amino acids; therefore, the cycle is amphibolic (both catabolic and anabolic).

Key Takeaways

The oxidation of pyruvate and the citric acid cycle

  • takes place upon entering the mitochondria (oxidation of pyruvate) and in the mitochondrial matrix (citric acid cycle)
  • starts with the 2 pyruvate molecules from glycolysis
  • releases the carbons of glucose as  6 CO2
  • generates 2 ATP, 8 NADH, and 2 FADH2

back to top

9.5. Oxidative Phosphorylation and Electron Transport Chain

Most of the ATP generated during glucose catabolism, however, is derived from a complex process, chemiosmosis, which takes place in mitochondria (Figure 9.10) within a eukaryotic cell or the plasma membrane of a prokaryotic cell. Chemiosmosis, a process of ATP production in cellular metabolism, is used to generate 90 percent of the ATP made during glucose catabolism and is also the method used in the light reactions of photosynthesis to harness the energy of sunlight. The production of ATP using the process of chemiosmosis is called oxidative phosphorylation because of the involvement of oxygen in the process.

This illustration shows the structure of a mitochondrion, which has an outer membrane and an inner membrane. The inner membrane has many folds, called cristae. The space between the outer membrane and the inner membrane is called the intermembrane space, and the central space of the mitochondrion is called the matrix. ATP synthase enzymes and the electron transport chain are located in the inner membrane

Figure 9.10 .

In eukaryotes, oxidative phosphorylation takes place in mitochondria. In prokaryotes, this process takes place in the plasma membrane. (Credit: modification of work by Mariana Ruiz Villareal)

You have just read about two pathways in glucose catabolism—glycolysis and the citric acid cycle—that generate ATP. Most of the ATP generated during the aerobic catabolism of glucose, however, is not generated directly from these pathways. Rather, it is derived from a process that begins with moving electrons through a series of electron transporters that undergo redox reactions. This causes hydrogen ions to accumulate within the matrix space. Therefore, a concentration gradient forms in which hydrogen ions diffuse out of the matrix space by passing through ATP synthase. The current of hydrogen ions powers the catalytic action of ATP synthase, which phosphorylates ADP, producing ATP.

The electron transport chain (Figure 9.11) is the last component of aerobic respiration and is the only part of glucose metabolism that uses atmospheric oxygen. Oxygen continuously diffuses into plants; in animals, it enters the body through the respiratory system. Electron transport is a series of redox reactions that resemble a relay race or bucket brigade in that electrons are passed rapidly from one component to the next, to the endpoint of the chain where the electrons reduce molecular oxygen, producing water. There are four complexes composed of proteins, labeled I through IV in Figure 9.11, and the aggregation of these four complexes, together with associated mobile, accessory electron carriers, is called the electron transport chain. The electron transport chain is present in multiple copies in the inner mitochondrial membrane of eukaryotes and the plasma membrane of prokaryotes.

This illustration shows the electron transport chain embedded in the inner mitochondrial membrane. The electron transport chain consists of four electron complexes. Complex I oxidizes NADH to NAD^^{+} and simultaneously pumps a proton across the membrane to the inter membrane space. The two electrons released from NADH are shuttled to coenzyme Q, then to complex III, to cytochrome c, to complex IV, then to molecular oxygen. In the process, two more protons are pumped across the membrane to the intermembrane space, and molecular oxygen is reduced to form water. Complex II removes two electrons from FADH_{2}, thereby forming FAD. The electrons are shuttled to coenzyme Q, then to complex III, cytochrome c, complex I, and molecular oxygen as in the case of NADH oxidation.

Figure 9.11 .

The electron transport chain is a series of electron transporters embedded in the inner mitochondrial membrane that shuttles electrons from NADH and FADH2 to molecular oxygen. In the process, protons are pumped from the mitochondrial matrix to the intermembrane space, and oxygen is reduced to form water.

Complex I

To start, two electrons are carried to the first complex aboard NADH. This complex, labeled I, is composed of flavin mononucleotide (FMN) and an iron-sulfur (Fe-S)-containing protein. FMN, which is derived from vitamin B2, also called riboflavin, is one of several prosthetic groups or co-factors in the electron transport chain. A prosthetic group is a non-protein molecule required for the activity of a protein. Prosthetic groups are organic or inorganic, non-peptide molecules bound to a protein that facilitate its function; prosthetic groups include co-enzymes, which are the prosthetic groups of enzymes. The enzyme in complex I is NADH dehydrogenase and is a very large protein, containing 45 amino acid chains. Complex I can pump four hydrogen ions across the membrane from the matrix into the intermembrane space, and it is in this way that the hydrogen ion gradient is established and maintained between the two compartments separated by the inner mitochondrial membrane.

Q and Complex II

Complex II directly receives FADH2, which does not pass through complex I. The compound connecting the first and second complexes to the third is ubiquinone (Q). The Q molecule is lipid soluble and freely moves through the hydrophobic core of the membrane. Once it is reduced, (QH2), ubiquinone delivers its electrons to the next complex in the electron transport chain. Q receives the electrons derived from NADH from complex I and the electrons derived from FADH2 from complex II, including succinate dehydrogenase. This enzyme and FADH2 form a small complex that delivers electrons directly to the electron transport chain, bypassing the first complex. Since these electrons bypass and thus do not energize the proton pump in the first complex, fewer ATP molecules are made from the FADH2 electrons. The number of ATP molecules ultimately obtained is directly proportional to the number of protons pumped across the inner mitochondrial membrane.

Complex III

The third complex is composed of cytochrome b, another Fe-S protein, Rieske center (2Fe-2S center), and cytochrome c proteins; this complex is also called cytochrome oxidoreductase. Cytochrome proteins have a prosthetic group of heme. The heme molecule is similar to the heme in hemoglobin, but it carries electrons, not oxygen. As a result, the iron ion at its core is reduced and oxidized as it passes the electrons, fluctuating between different oxidation states: Fe++ (reduced) and Fe+++ (oxidized). The heme molecules in the cytochromes have slightly different characteristics due to the effects of the different proteins binding them, giving slightly different characteristics to each complex. Complex III pumps protons through the membrane and passes its electrons to cytochrome c for transport to the fourth complex of proteins and enzymes (cytochrome c is the acceptor of electrons from Q; however, whereas Q carries pairs of electrons, cytochrome c can accept only one at a time).

Complex IV

The fourth complex is composed of cytochrome proteins c, a, and a3. This complex contains two heme groups (one in each of the two cytochromes, a, and a3) and three copper ions (a pair of CuA and one CuB in cytochrome a3). The cytochromes hold an oxygen molecule very tightly between the iron and copper ions until the oxygen is completely reduced. The reduced oxygen then picks up two hydrogen ions from the surrounding medium to make water (H2O). The removal of the hydrogen ions from the system contributes to the ion gradient used in the process of chemiosmosis.

Chemiosmosis

In chemiosmosis, the free energy from the series of redox reactions just described is used to pump hydrogen ions (protons) across the membrane. The uneven distribution of H+ ions across the membrane establishes both concentration and electrical gradients (thus, an electrochemical gradient), owing to the hydrogen ions' positive charge and their aggregation on one side of the membrane.

If the membrane were open to diffusion by the hydrogen ions, the ions would tend to diffuse back across into the matrix, driven by their electrochemical gradient. Recall that many ions cannot diffuse through the nonpolar regions of phospholipid membranes without the aid of ion channels. Similarly, hydrogen ions in the matrix space can only pass through the inner mitochondrial membrane through an integral membrane protein called ATP synthase (Figure 9.12). This complex protein acts as a tiny generator, turned by the force of the hydrogen ions diffusing through it, down their electrochemical gradient. The turning of parts of this molecular machine facilitates the addition of a phosphate to ADP, forming ATP, using the potential energy of the hydrogen ion gradient.

Art Connection

This illustration shows an ATP synthase enzyme embedded in the inner mitochondrial membrane. ATP synthase allows protons to move from an area of high concentration in the intermembrane space to an area of low concentration in the mitochondrial matrix. The energy derived from this exergonic process is used to synthesize ATP from ADP and inorganic phosphate.

Figure 9.12 .

ATP synthase is a complex, molecular machine that uses a proton (H+) gradient to form ATP from ADP and inorganic phosphate (Pi). (Credit: modification of work by Klaus Hoffmeier)

Chemiosmosis (Figure 9.13) is used to generate 90 percent of the ATP made during aerobic glucose catabolism; it is also the method used in the light reactions of photosynthesis to harness the energy of sunlight in the process of photophosphorylation. Recall that the production of ATP using the process of chemiosmosis in mitochondria is called oxidative phosphorylation. The overall result of these reactions is the production of ATP from the energy of the electrons removed from hydrogen atoms. These atoms were originally part of a glucose molecule. At the end of the pathway, the electrons are used to reduce an oxygen molecule to oxygen ions. The extra electrons on the oxygen attract hydrogen ions (protons) from the surrounding medium, and water is formed.

Art Connection

This illustration shows the electron transport chain, the ATP synthase enzyme embedded in the inner mitochondrial membrane, and the citric acid cycle occurring in the mitochondrial matrix. The citric acid cycle feeds NADH and FADH_{2} to the electron transport chain. The electron transport chain oxidizes these substrates and, in the process, pumps protons into the intermembrane space. ATP synthase allows protons to leak back into the matrix and synthesizes ATP.

Figure 9.13 .

In oxidative phosphorylation, the pH gradient formed by the electron transport chain is used by ATP synthase to form ATP.

ATP Yield

The number of ATP molecules generated from the catabolism of glucose varies. For example, the number of hydrogen ions that the electron transport chain complexes can pump through the membrane varies between species. Another source of variance stems from the shuttle of electrons across the membranes of the mitochondria. (The NADH generated from glycolysis cannot easily enter mitochondria.) Thus, electrons are picked up on the inside of mitochondria by either NAD+ or FAD+. As you have learned earlier, these FAD+ molecules can transport fewer ions; consequently, fewer ATP molecules are generated when FAD+ acts as a carrier. NAD+ is used as the electron transporter in the liver and FAD+ acts in the brain.

Another factor that affects the yield of ATP molecules generated from glucose is the fact that intermediate compounds in these pathways are used for other purposes. Glucose catabolism connects with the pathways that build or break down all other biochemical compounds in cells, and the result is somewhat messier than the ideal situations described thus far. For example, sugars other than glucose are fed into the glycolytic pathway for energy extraction. Moreover, the five-carbon sugars that form nucleic acids are made from intermediates in glycolysis. Certain nonessential amino acids can be made from intermediates of both glycolysis and the citric acid cycle. Lipids, such as cholesterol and triglycerides, are also made from intermediates in these pathways, and both amino acids and triglycerides are broken down for energy through these pathways. Overall, in living systems, these pathways of glucose catabolism extract about 34 percent of the energy contained in glucose.

Key Takeaways

Oxidative Phosphorylation

  • Combination of electron transport and chemiosmosis
  • Occurs in the inner membrane of mitochondria of eukaryotes
  • Requires NADH, FADH2 and O2
  • Generates about 26 or 28 ATP and H2O

Exercises

Cyanide inhibits cytochrome c oxidase, a component of the electron transport chain.

  1. If cyanide poisoning occurs, would you expect the pH of the intermembrane space to increase or decrease?

    Show Answer

    increase, becoming less acidic

  2. What effect would cyanide have on ATP synthesis?

    Show Answer

    Stop ATP synthesis

back to top

In aerobic respiration, the final electron acceptor is an oxygen molecule, O2. If aerobic respiration occurs, then ATP will be produced using the energy of high-energy electrons carried by NADH or FADH2 to the electron transport chain. If aerobic respiration does not occur, NADH must be reoxidized to NAD+ for reuse as an electron carrier for the glycolytic pathway to continue. How is this done? Some living systems use an organic molecule as the final electron acceptor. Processes that use an organic molecule to regenerate NAD+ from NADH are collectively referred to as fermentation. In contrast, some living systems use an inorganic molecule as a final electron acceptor. Both methods are called anaerobic cellular respiration in which organisms convert energy for their use in the absence of oxygen.

Anaerobic Cellular Respiration

Certain prokaryotes, including some species of bacteria and Archaea, use anaerobic respiration. For example, the group of Archaea called methanogens reduces carbon dioxide to methane to oxidize NADH. These microorganisms are found in soil and in the digestive tracts of ruminants, such as cows and sheep. Similarly, sulfate-reducing bacteria and Archaea, most of which are anaerobic ( Figure 9.14), reduce sulfate to hydrogen sulfide to regenerate NAD+ from NADH.

This photo shows a bloom of green bacteria in water.

Figure 9.14 .

The green color seen in these coastal waters is from an eruption of hydrogen sulfide-producing bacteria. These anaerobic, sulfate-reducing bacteria release hydrogen sulfide gas as they decompose algae in the water. (credit: modification of work by NASA/Jeff Schmaltz, MODIS Land Rapid Response Team at NASA GSFC, Visible Earth Catalog of NASA images)

Link to Learning

QR Code representing a URL

Visit this site to see anaerobic cellular respiration in action.

Lactic Acid Fermentation

The fermentation method used by animals and certain bacteria, like those in yogurt, is lactic acid fermentation ( Figure 9.15). This type of fermentation is used routinely in mammalian red blood cells and in skeletal muscle that has an insufficient oxygen supply to allow aerobic respiration to continue (that is, in muscles used to the point of fatigue). In muscles, lactic acid accumulation must be removed by the blood circulation and the lactate brought to the liver for further metabolism. The enzyme used in this reaction is lactate dehydrogenase (LDH). The reaction can proceed in either direction, but the reaction from left to right is inhibited by acidic conditions. Such lactic acid accumulation was once believed to cause muscle stiffness, fatigue, and soreness, although more recent research disputes this hypothesis. Once the lactic acid has been removed from the muscle and circulated to the liver, it can be reconverted into pyruvic acid and further catabolized for energy.

This illustration shows that during glycolysis, glucose is broken down into two pyruvate molecules and, in the process, two NADH are formed from NAD^{+}. During lactic acid fermentation, the two pyruvate molecules are converted into lactate, and NADH is recycled back into NAD^{+}.

Figure 9.15 .

Lactic acid fermentation is common in muscle cells that have run out of oxygen.

Alcohol Fermentation

Another familiar fermentation process is alcohol fermentation (Figure 9.16) that produces ethanol, an alcohol. The first chemical reaction of alcohol fermentation is the following (CO2 does not participate in the second reaction). The first reaction is catalyzed by pyruvate decarboxylase, a cytoplasmic enzyme, with a coenzyme of thiamine pyrophosphate (TPP, derived from vitamin B1 and also called thiamine). A carboxyl group is removed from pyruvic acid, releasing carbon dioxide as a gas. The loss of carbon dioxide reduces the size of the molecule by one carbon, making acetaldehyde. The second reaction is catalyzed by alcohol dehydrogenase to oxidize NADH to NAD+ and reduce acetaldehyde to ethanol. The fermentation of pyruvic acid by yeast produces the ethanol found in alcoholic beverages. Ethanol tolerance of yeast is variable, ranging from about 5 percent to 21 percent, depending on the yeast strain and environmental conditions.

Figure 9.16 .Alcoholic fermentation regenerates NAD+necessary for glycolysis.  In the process carbon dioxide is released as are seen in the bubbles in beer.

Other Types of Fermentation

Other fermentation methods occur in bacteria. Many prokaryotes are facultatively anaerobic. This means that they can switch between aerobic respiration and fermentation, depending on the availability of oxygen. Certain prokaryotes, like Clostridia , are obligate anaerobes. Obligate anaerobes live and grow in the absence of molecular oxygen. Oxygen is a poison to these microorganisms and kills them on exposure. It should be noted that all forms of fermentation, except lactic acid fermentation, produce gas. The production of particular types of gas is used as an indicator of the fermentation of specific carbohydrates, which plays a role in the laboratory identification of the bacteria. Various methods of fermentation are used by assorted organisms to ensure an adequate supply of NAD+ for the sixth step in glycolysis. Without these pathways, that step would not occur and no ATP would be harvested from the breakdown of glucose.

back to top

9.7. Connections of Other Metabolic Pathways

You have learned about the catabolism of glucose, which provides energy to living cells. But living things consume more than glucose for food. How does a turkey sandwich end up as ATP in your cells? This happens because all of the catabolic pathways for carbohydrates, proteins, and lipids eventually connect into glycolysis and the citric acid cycle pathways (see Figure 9.18). Metabolic pathways should be thought of as porous—that is, substances enter from other pathways, and intermediates leave for other pathways. These pathways are not closed systems. Many of the substrates, intermediates, and products in a particular pathway are reactants in other pathways.

Connections of Other Sugars to Glucose Metabolism

Glycogen, a polymer of glucose, is an energy storage molecule in animals. When there is adequate ATP present, excess glucose is shunted into glycogen for storage. Glycogen is made and stored in both liver and muscle. The glycogen will be hydrolyzed into glucose monomers (G-1-P) if blood sugar levels drop. The presence of glycogen as a source of glucose allows ATP to be produced for a longer period of time during exercise. Glycogen is broken down into G-1-P and converted into G-6-P in both muscle and liver cells, and this product enters the glycolytic pathway.

Sucrose is a disaccharide with a molecule of glucose and a molecule of fructose bonded together with a glycosidic linkage. Fructose is one of the three dietary monosaccharides, along with glucose and galactose (which is part of the milk sugar, the disaccharide lactose), which are absorbed directly into the bloodstream during digestion. The catabolism of both fructose and galactose produces the same number of ATP molecules as glucose.

Connections of Proteins to Glucose Metabolism

Proteins are hydrolyzed by a variety of enzymes in cells. Most of the time, the amino acids are recycled into the synthesis of new proteins. If there are excess amino acids, however, or if the body is in a state of starvation, some amino acids will be shunted into the pathways of glucose catabolism (Figure 9.17). Each amino acid must have its amino group removed prior to entry into these pathways. The amino group is converted into ammonia. In mammals, the liver synthesizes urea from two ammonia molecules and a carbon dioxide molecule. Thus, urea is the principal waste product in mammals produced from the nitrogen originating in amino acids, and it leaves the body in urine.

This illustration shows that the amino acids alanine, glycine, threonine, cysteine, and serine can be converted into pyruvate. Leucine, lysine, phenylalanine, tyrosine, tryptophan, and isoleucine can be converted into acetyl CoA. Arginine, proline, histidine, glutamine, and glutamate can be converted into α-ketoglutarate. Isoleucine, valine, methionine, and threonine can be converted into succinyl CoA. Tyrosine and phenylalanine can be converted into fumarate, and aspartate and asparagine can be converted into oxaloacetate.

Figure 9 .17 .

The carbon skeletons of certain amino acids (indicated in boxes) derived from proteins can feed into the citric acid cycle. (credit: modification of work by Mikael Häggström)

Connections of Lipid and Glucose Metabolisms

The lipids that are connected to the glucose pathways are cholesterol and triglycerides. Cholesterol is a lipid that contributes to cell membrane flexibility and is a precursor of steroid hormones. The synthesis of cholesterol starts with acetyl groups and proceeds in only one direction. The process cannot be reversed.

Triglycerides are a form of long-term energy storage in animals. Triglycerides are made of glycerol and three fatty acids. Animals can make most of the fatty acids they need. Triglycerides can be both made and broken down through parts of the glucose catabolism pathways. Glycerol can be phosphorylated to glycerol-3-phosphate, which continues through glycolysis. Fatty acids are catabolized in a process called beta-oxidation that takes place in the matrix of the mitochondria and converts their fatty acid chains into two carbon units of acetyl groups. The acetyl groups are picked up by CoA to form acetyl CoA that proceeds into the citric acid cycle.

This illustration shows that glycogen, fats, and proteins can be catabolized via aerobic respiration. Glycogen is broken down into glucose, which feeds into glycolysis at the start. Fats are broken down into glycerol, which is processed by glycolysis, and fatty acids are converted into acetyl CoA. Proteins are broken down into amino acids, which are processed at various stages of aerobic respiration, including glycolysis, acetyl CoA formation, and the citric acid cycle.

Figure 9.18 .

Glycogen from the liver and muscles, hydrolyzed into glucose-1-phosphate, together with fats and proteins, can feed into the catabolic pathways for carbohydrates.

Exercises

A student wants to lose five pounds so goes on a low calorie diet to burn triglycerides, or fat.

  1.  Where does the glycerol from a triglyceride enter cellular respiration?

    Show Answer

    Glycerol is converted to glycerol-3-phosphate and enter in glycolysis.

  2. Where do the fatty acids enter cellular respiration?

    Show Answer

    Fatty acids are broken into two carbon molecules and enter at the start of the citric acid cycle in the mitochondria.

ATP synthase
(also, F1F0 ATP synthase) membrane-embedded protein complex that adds a phosphate to ADP with energy from protons diffusing through it
acetyl CoA
combination of an acetyl group derived from pyruvic acid and coenzyme A, which is made from pantothenic acid (a B-group vitamin)
aerobic respiration
process in which organisms convert energy in the presence of oxygen
anaerobic cellular respiration
process in which organisms convert energy for their use in the absence of oxygen
anaerobic
process that does not use oxygen
chemiosmosis
process in which there is a production of adenosine triphosphate (ATP) in cellular metabolism by the involvement of a proton gradient across a membrane
citric acid cycle
(also, Krebs cycle) series of enzyme-catalyzed chemical reactions of central importance in all living cells
dephosphorylation
removal of a phosphate group from a molecule
fermentation
process of regenerating NAD+ with either an inorganic or organic compound serving as the final electron accceptor, occurs in the absence; occurs in the absence of oxygen
glycolysis
process of breaking glucose into two three-carbon molecules with the production of ATP and NADH
isomerase
enzyme that converts a molecule into its isomer
Krebs cycle
(also, citric acid cycle) alternate name for the citric acid cycle, named after Hans Krebs who first identified the steps in the pathway in the 1930s in pigeon flight muscles; see citric acid cycle
oxidation of pyruvate
         the generation of Acetyl CoA and formation of CO2 and NADH as pyruvate enters the                               mitochondria.
oxidative phosphorylation
production of ATP using the process of chemiosmosis and oxygen
phosphorylation
addition of a high-energy phosphate to a compound, usually a metabolic intermediate, a protein, or ADP
prosthetic group
(also, prosthetic cofactor) molecule bound to a protein that facilitates the function of the protein
pyruvate
three-carbon sugar that can be decarboxylated and oxidized to make acetyl CoA, which enters the citric acid cycle under aerobic conditions; the end product of glycolysis
redox reaction
chemical reaction that consists of the coupling of an oxidation reaction and a reduction reaction
substrate-level phosphorylation
production of ATP from ADP using the excess energy from a chemical reaction and a phosphate group from a reactant
TCA cycle
(also, citric acid cycle) alternate name for the citric acid cycle, named after the group name for citric acid, tricarboxylic acid (TCA); see citric acid cycle
ubiquinone
soluble electron transporter in the electron transport chain that connects the first or second complex to the third

Chapter 9 Cellular Respiration and Fermentation Reading Guide

Source: https://courses.lumenlearning.com/austincc-biologymajors-os/chapter/chapter7-cellular-respiration/

0 Response to "Chapter 9 Cellular Respiration and Fermentation Reading Guide"

Post a Comment

Iklan Atas Artikel

Iklan Tengah Artikel 1

Iklan Tengah Artikel 2

Iklan Bawah Artikel